What is Krill Herd Algorithm?
A Meta heuristic optimization algorithm inspired by nature, the Krill Herd Algorithm (KHA) simulates the swarming behavior of krill in the ocean. In 2012, Gandomi and Alavi presented it as a bio-inspired method for resolving challenging optimization issues. The algorithm is predicated on how krill individuals react to their surroundings by moving, specifically:
- Neighboring Krill Density: Krill often create swarms by remaining near one another.
- Foraging behavior: Krill migrate in search of food.
- Random diffusion: Krill move randomly to investigate new locations.
The Krill Herd Algorithm efficiently explores and exploits search areas by mathematically simulating these biological processes, which makes it valuable for resolving optimization issues in machine learning, artificial intelligence, and engineering.
Introduction of Krill Herd Algorithm
The swarming behavior of krill in oceans served as the inspiration for the Krill Herd method (KHA), an evolutionary optimization method. Gandomi and Alavi (2012) suggested it as a productive technique for resolving discrete and continuous optimization issues. Small marine creatures called krill are essential to the ecosystem of the ocean. The following factors impact their movement:
- Neighboring Krill Density – They tend to stay in groups to avoid predators.
- Foraging Activity – They move toward areas with more food resources.
- Random Diffusion – They occasionally move in unpredictable directions to explore new areas.
KHA is a potent tool for resolving optimization issues since these behaviors are theoretically constructed to direct a population of krill toward an ideal solution in a search space.
Detailed Krill Herd Algorithm
The movement of krill individuals in reaction to their surroundings is modeled by the Krill Herd Algorithm (KHA). Three primary elements impact the movement:
- Induced Movement (Affected by Neighboring Krill)
- Foraging Motion (Food Attraction)
- Random Diffusion (Exploration)
Each krill moves in a D-dimensional search space to find the optimal solution. The algorithm mathematically defines each movement and updates the krill’s position iteratively. Step-by-Step Explanation of KHA are,
1. Initialization
- Set the number of krill individuals (N) in the population.
- Define the search space (upper and lower bounds of the problem domain).
- Initialize krill positions randomly within the search space.
- Set algorithm parameters like maximum iterations, inertia weight, and step size.
2. Krill Movement Modeling
The position of each krill is updated based on the following three key movements:
(a) Induced Movement (Social Influence from Other Krill)
Each krill adjusts its position based on its neighbors using the equation:

Where, Ni is the new induced movement velocity of krill i. Nmax is the maximum induced speed. αi is the direction determined by the neighboring krill.W is the inertia weight to control movement memory. NiOld is the previous movement speed.
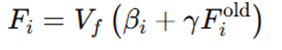
(b) Foraging Motion (Search for Food)
Each krill moves towards better food sources using:

Where, Fi is the foraging speed. Vf is the maximum foraging speed. βi is the food attraction term. γ is the inertia weight for previous foraging motion. FiOld is the previous foraging velocity.
(c) Random Diffusion (Exploration Factor)
To ensure diversity in the search, random motion is introduced:

Where, Di is the random diffusion velocity. δ is the maximum diffusion speed. r is a random number in [0,1].
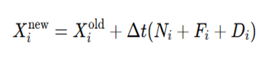
3. Position Update
The new position of krill iii is computed as:

Where , Xi new is the updated position. Δt is the time step controlling movement. Ni, Fi, and Di are movement components.
4. Fitness Evaluation
- Each krill’s position represents a potential solution.
- The fitness function evaluates how good each solution is.
- The best solutions guide further movement.
5. Stopping Criteria
The algorithm continues updating krill positions until:
- A maximum number of iterations is reached.
- The fitness function stops improving beyond a threshold.
Pseudo code of Krill Herd Algorithm

Key Features of KHA
- Balanced Exploration and Exploitation – Krill movement ensures a wide search while refining solutions.
- Self-Adaptive Mechanism – The algorithm adjusts movement dynamically.
- Works on Complex Problems – Used in engineering, AI, and optimization tasks.
Advantages and Limitations of Krill Herd Algorithm (KHA)
A potent bio-inspired optimization algorithm, the Krill Herd Algorithm (KHA) offers advantages and disadvantages like any other technique. A summary of its benefits and drawbacks can be seen below.
Advantages
- High Exploration and Exploitation Balance: The method employs foraging behavior for exploitation (fine-tuning the optimal solutions) and random diffusion for exploration (finding new areas). This prevents it from becoming stuck in local optima, which is a typical problem with many optimization techniques.
- Inspired by Natural Swarming Behavior: KHA works well for complicated situations because it mimics an intelligent and flexible search approach because it is based on real-world krill movement.
- Effective for Complex and High-Dimensional Problems: KHA has been effectively used in financial modeling, energy optimization, machine learning, and engineering. It performs well in high-dimensional, multi-objective, and nonlinear optimization.
- Self-Adaptive Mechanism: KHA eliminates the necessity for manual tuning by dynamically modifying krill movement in response to existing solutions. It is more reliable and effective than many conventional optimization techniques because of its self-adaptive behavior.
- Suitable for Multi-Objective Optimization: KHA is helpful in real-world applications when there are several limitations since it can manage several competing goals (e.g., cost vs. efficiency in engineering design).
- Scalability and Flexibility: is applicable to problems that are discrete or continuous.
performs well in dynamic, real-world settings like robots, sensor networks, and logistics.
Limitations
- High Computational Cost: KHA takes longer to compute than more straightforward algorithms like PSO or Genetic Algorithm since it incorporates several movement components (induced movement, foraging, and random diffusion).
- Requires Careful Parameter Tuning: A number of parameters, including step size, diffusion rate, and inertia weights, affect how well the algorithm performs. Slow convergence or less-than-ideal solutions might result from improper tuning.
- Slower Convergence for Large-Scale Problems: KHA could require more iterations to converge than Particle Swarm Optimization (PSO) and Differential Evolution (DE). For real-time applications, this could be troublesome.
- Can Get Stuck in Local Optima in Certain Cases: KHA may still have trouble with extremely complicated, multimodal functions even though it contains exploration methods. This restriction can be addressed with the use of hybrid strategies (e.g., combining KHA with GA or PSO).
- Less Popular Compared to Other Bio-Inspired Algorithms: Algorithms with greater usage and research funding include Genetic Algorithm (GA), Ant Colony Optimization (ACO), and PSO. KHA is not as commonly used in libraries and popular apps.
When to Use Krill Herd Algorithm?
| Factor | KHA Performance |
| Exploration | Strong (Diversity maintained) |
| Exploitation | Strong (Foraging behavior) |
| Computational Cost | Higher than PSO/GA |
| Convergence Speed | Slower for large problems |
| Scalability | Good for medium-to-large problems |
| Ease of Implementation | Requires parameter tuning |
| Multi-Objective Optimization | Excellent |
Ideal Use Cases
- Engineering optimization (structural design, material selection)
- Machine learning (feature selection, hyperparameter tuning)
- Renewable energy (solar panel optimization, wind farm placement)
- Medical imaging (tumor detection, segmentation)
- Financial modeling (stock prediction, portfolio optimization)
An effective optimization method that strikes a balance between exploration and exploitation is the Krill Herd Algorithm. Nevertheless, it is computationally demanding and necessitates precise parameter tweaking. Performance can be further enhanced by hybridizing it with other algorithms (such as PSO, GA, or Differential Evolution).
Applications of Krill Herd Algorithm (KHA)
The Krill Herd Algorithm (KHA) is a powerful nature-inspired optimization technique modeled on the herding behavior of krill individuals in the ocean. Its ability to balance exploration and exploitation makes it effective for solving complex optimization problems across diverse domains. Below are the key real-world applications of KHA.
- Engineering Design Optimization: In engineering, KHA is used to enhance the performance and efficiency of design systems. It has been applied to structural design to optimize shape, material selection, and load-bearing capacity, achieving maximum strength at minimum cost. In antenna design, KHA helps optimize parameters for improved wireless communication performance. Similarly, in robotics, the algorithm assists in path planning and control system tuning. For instance, KHA has been successfully implemented in bridge design to reduce material costs while maintaining structural integrity.
- Machine Learning and Feature Selection: KHA is widely used in artificial intelligence and data science to enhance model performance. It can optimize hyperparameters of machine learning algorithms and select the most relevant features for classification and prediction tasks. Additionally, it helps in neural network weight tuning, improving training accuracy and convergence rates. A notable example includes using KHA for image classification, where it selects optimal features from large datasets to boost model accuracy.
- Renewable Energy Optimization: In renewable energy systems, KHA provides solutions for maximizing energy efficiency. It is used for solar panel placement, optimizing panel angles to absorb maximum sunlight, and in wind farm optimization, determining ideal turbine locations for optimal power generation. KHA also enhances power grid management by improving load balancing and energy distribution. In smart grid applications, it has been implemented to efficiently allocate renewable energy resources.
- Industrial Production and Scheduling: KHA has proven valuable in manufacturing and logistics optimization. It improves supply chain management by reducing inventory costs and optimizing delivery processes. In manufacturing scheduling, it enhances machine utilization and minimizes downtime, while for vehicle routing problems (VRP), it determines the most efficient routes to save fuel and time. For example, KHA has been used in factory production planning to minimize operational delays and maximize throughput.
- Image Processing and Computer Vision: In the field of image processing, KHA is applied to image segmentation for medical diagnostics, particularly in tumor detection from MRI or X-ray images. It also aids in edge detection and pattern recognition, improving object identification and facial recognition accuracy. Its effectiveness in optimizing feature extraction has made it a valuable tool for enhancing healthcare imaging systems.
- Financial and Economic Modeling: KHA finds applications in financial analytics for stock market prediction, portfolio optimization, and risk assessment. By analyzing historical trends, it assists in forecasting price movements and optimizing investment strategies. It also helps financial institutions in risk management by enhancing decision-making models. For example, KHA has been used to develop optimized cryptocurrency trading algorithms that adapt to volatile market patterns.
- Wireless Sensor Networks (WSN) Optimization: In IoT and wireless sensor networks, KHA helps improve routing efficiency, energy utilization, and fault detection. It determines the best routes for data transmission, prolongs the lifetime of battery-powered sensors, and enables predictive maintenance. These capabilities make it suitable for critical systems such as disaster monitoring and environmental sensing, where reliability is paramount.
- Bioinformatics and Medical Research: KHA contributes to computational biology and medical studies by aiding gene selection, protein structure prediction, and epidemic spread modeling. It helps identify disease-related genes, supports drug discovery by improving protein modeling accuracy, and models infectious disease patterns for better control strategies. During the COVID-19 pandemic, KHA was used to analyze infection trends and optimize vaccine distribution strategies.
The Krill Herd Algorithm stands out as a versatile and efficient optimization technique across multiple domains, including engineering, artificial intelligence, healthcare, finance, and renewable energy. Its capability to balance global exploration with local exploitation allows it to deliver high-quality solutions to complex, multidimensional, and real-world problems, solidifying its position as one of the most effective bio-inspired optimization algorithms.
Conclusion
A potent optimization algorithm inspired by nature, the Krill Herd Algorithm (KHA) mimics the swarming behavior of krill in the ocean. KHA successfully strikes a balance between exploration (finding new areas) and exploitation (improving solutions) in challenging optimization problems by simulating induced movement, foraging motion, and random diffusion. Engineering, artificial intelligence, renewable energy, finance, and medical research have all successfully used KHA, a flexible optimization tool. It is an effective way of problem-solving that can deal with multidimensional, nonlinear, and real-world issues where conventional approaches frequently falter. Its self-adaptive mechanism, which dynamically modifies krill movement to avoid local optima and speed up convergence, is one of its main advantages. KHA can be computationally demanding, nevertheless, and requires parameter fine-tuning for best results despite its efficacy.
In order to improve speed and accuracy, future developments in KHA may involve hybridization with other algorithms, such as Particle Swarm Optimization (PSO) and the Genetic Algorithm (GA). Additionally, large-scale optimization problems may be executed more quickly through the merging of deep learning with parallel computing. Additionally, the method has a lot of potential for real-time applications in advanced robotics, smart cities, and autonomous systems. All things considered, the Krill Herd Algorithm is still developing as a promising bio-inspired optimization method, which makes it an invaluable resource for academics, scientists, and engineers in a variety of fields.
Frequently Asked Questions (FAQs)
What is the main inspiration behind the Krill Herd Algorithm?
The swarming behavior of krill in the ocean serves as the inspiration for the Krill Herd Algorithm (KHA). In order to live and locate the best places, krill modify their mobility in response to food supplies, random diffusion, and the density of nearby krill. In order to solve optimization challenges, this behavior is mathematically represented.
How does the movement of krill improve optimization?
Krill movement is influenced by three key factors:
- Induced Movement – They move toward higher krill density, ensuring cohesion in the search process.
- Foraging Motion – They move toward food sources, guiding them toward better solutions.
- Random Diffusion – Ensures diversity and prevents getting trapped in local optima.
By combining these movements, KHA efficiently explores and exploits the search space.
What are the main parameters affecting the performance of the Krill Herd Algorithm?
The key parameters influencing KHA include:
- Step Size (Δt) – Controls the speed of krill movement.
- Maximum Induced Speed (N_max) – Affects how strongly krill follow their neighbors.
- Foraging Speed (V_f) – Determines the influence of food sources.
- Random Diffusion Rate (D_max) – Controls the balance between exploration and exploitation.
- Population Size (N) – Affects computational efficiency and solution quality.
Tuning these parameters is crucial for optimal performance.
How does the Krill Herd Algorithm compare with Particle Swarm Optimization (PSO) and Genetic Algorithm (GA)?
| Feature | Krill Herd Algorithm (KHA) | Particle Swarm Optimization (PSO) | Genetic Algorithm (GA) |
| Inspiration | Krill movement in swarms | Bird flocking behavior | Natural selection |
| Exploration | High (Random diffusion) | Moderate | High (Mutation) |
| Exploitation | Strong (Foraging motion) | Strong (Velocity updates) | Strong (Crossover) |
| Convergence | Slower but effective | Faster but may stagnate | Moderate |
| Complexity | Higher (Multiple movements) | Lower | Moderate |
KHA is better for complex problems but requires more computation compared to PSO and GA.
What real-world problems can be efficiently solved using KHA?
KHA has been successfully applied in:
Financial Optimization – Portfolio management and stock price prediction.
Engineering Design – Optimizing materials and structural designs.
Machine Learning – Feature selection and hyperparameter tuning.
Renewable Energy – Optimizing solar panel angles and wind turbine placement.
Image Processing – Edge detection and image segmentation.